您的位置 : 资讯 > 软件教程 > Filecoin释放规则:矿机收益最大化指南

Filecoin释放规则:矿机收益最大化指南

来源:菜鸟下载 | 更新时间:2025-11-14

Filecoin 代币分配机制:一览Filecoin 的代币总量上限为 20 亿枚,其分配方案如下:Protocol Labs 团队持有 15%(3 亿枚),分 6

Filecoin 代币分配机制:一览

2025年主流加密货币交易所:

Filecoin 的代币总量上限为 20 亿枚,其分配方案如下:

  • Protocol Labs 团队持有 15%(3 亿枚),分 6 年线性释放。
  • 基金会持有 5%(1 亿枚),无锁定期。
  • 私募轮及 ICO 出售 10%(2 亿枚),根据投资者选择,分 6 个月、12 个月或 3 年线性释放,锁定期越长,购买价格越低。
  • 挖矿释放 70%(14 亿枚),第一年释放 1.53 亿枚,线性释放,每 6 年减半。前 6 年释放总量的一半,到第 7 个 6 年,总共可挖出 99% 的 FIL。预计 42 年后,FIL 将接近被挖完。

Filecoin 挖矿收益:解析

主网上线后,许多人开始关注挖矿收益。由于官方的抵押机制较为复杂,加上代币分配机制需要确认,导致对收益计算感到困惑。以下数据推演基于区块链网络上公开可查的数据,旨在帮助大家理解收益的计算方法,不代表真实收益!

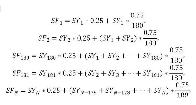
每日获得的挖矿收益并非立即全部释放,而是分为两部分:25% 立即释放,75% 在 180 天内线性释放。

每日产出与释放

每日产出:指每日产币量的 25% 立即释放的部分。例如,某一天矿池产币 2000 枚,则当日立即释放的币为 2000 * 25% = 500 枚。

180 天线性释放

以 4 月 8 日为例,假设某矿池产币 2000 枚,其中 500 枚立即释放,剩余的 1500 枚将被官方锁定,不能立即分配,而是平均分成 180 份,在 4 月 8 日之后的 180 天内,每天返还一份。

也就是说,4 月 8 日 75% 的产币奖励被切割成 180 份,在第二天返还一份,第三天返还一份,直到 180 天全部返还完毕。

在每日释放奖励的同时,第二天的 75% 奖励也在每天释放。第一天给的奖励,平均分成 180 份,每天给你一份;第二天给的奖励,平均分成 180 份,每天给你一份……以此类推,第 N 天给的奖励,平均分成 180 份,每天给你一份。

因此,第二天领取的奖励,不仅仅包含第二天当天给的奖励,还包含第一天的第二份奖励。以此类推,矿工的奖励是(第一天的返现 + 第二天的返现 + 第三天的返现 + ……)。

菜鸟下载发布此文仅为传递信息,不代表菜鸟下载认同其观点或证实其描述。

展开
神界召唤师
神界召唤师
类型:角色扮演 运营状态:公测 语言:简体中文
修仙 角色 交易所
前往下载

相关文章

更多>>

热门游戏

更多>>

手机扫描此二维码,

在手机上查看此页面

关于本站 下载帮助 版权声明 网站地图

版权投诉请发邮件到 cn486com#outlook.com (把#改成@),我们会尽快处理

Copyright © 2019-2020 菜鸟下载(www.cn486.com).All Reserved | 备案号:湘ICP备2023003002号-8

本站资源均收集整理于互联网,其著作权归原作者所有,如有侵犯你的版权,请来信告知,我们将及时下架删除相应资源